网络数字矩阵网络液晶电视墙系统设计方案
派拉软件发布新一代安全产品矩阵 深耕身份治理 加强网络风险管控
基于nios ⅱ的大规模矩阵开关的
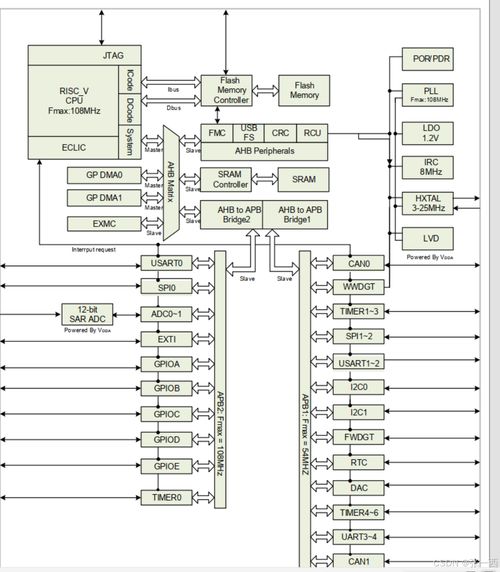
riscv学习 4 gd32vf103 mcu芯片学习
真我gt2 pro首发评测 驯龙 技术提升,颜值与屏幕继续越级挑战
itav多款新品现身infocomm china 2012
系统集成项目管理工程师备考资料 口袋应试第二版 8
智能配电监控系统的人机交互设计
creator快捷将携前沿新品亮相北京infocomm
会议系统 RGB矩阵切换器 - 组别1 - 产品目录 - 广州市迅控电子科技
重庆高速公路收费站监控工程方案全解析
无代码开发平台轻流,让人人都具备系统开发能力
AD2180系列中型矩阵切换控制系统 _供应信息_商机_中国安防展览网
【IHSE K476-8U 光纤双绞线全高清KVM矩阵】价格,厂家,图片,其他广播电视设备,冠林数据系统(北京)-
柳工,“起重机”加速跑
三维家大数据+人工智能赋能中小企业 让天下没有难做的生产
福田汽车携绿色产品矩阵亮相北京车展 缔造绿色城市新生活
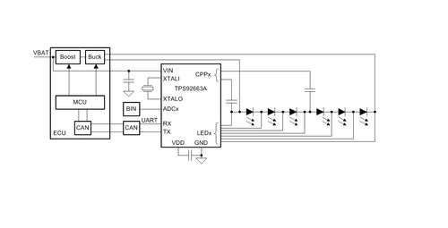
tps92663a q1 高亮度led矩阵管理器技术文档总结
物业公司15张应急预案流程图,必备
重温被mamba带火的ssm 线性系统和hippo矩阵
如若转载,请注明出处:http://www.njshuoma.com/product/list-4.html